Официальное опубликование правовых актов
ОФИЦИАЛЬНОЕ ОПУБЛИКОВАНИЕ
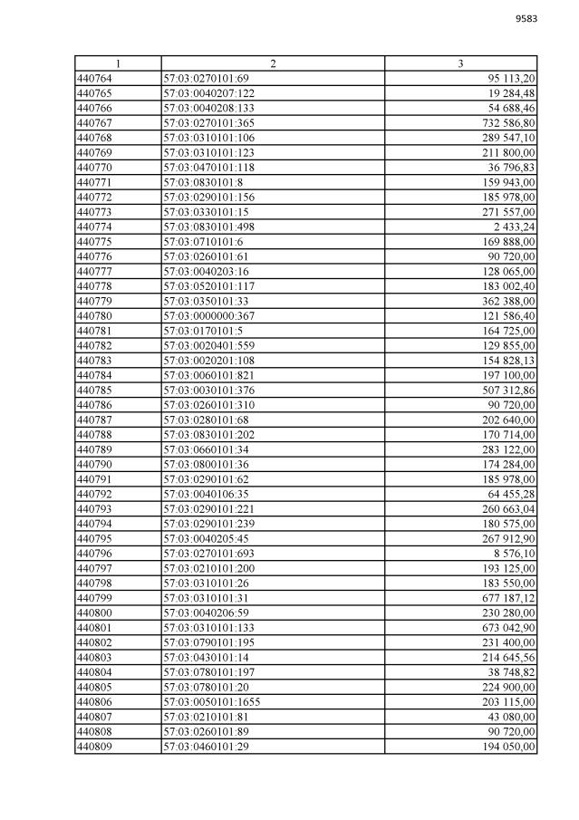
Постановление Правительства Орловской области от 05.10.2022 № 594
"Об утверждении результатов определения кадастровой стоимости всех земельных участков, учтенных в Едином государственном реестре недвижимости на территории Орловской области, за исключением случаев, предусмотренных частью 3 статьи 11 Федерального закона от 3 июля 2016 года № 237-ФЗ "О государственной кадастровой оценке", и признании утратившими силу отдельных положений постановления Правительства Орловской области от 22 октября 2019 года № 591 "Об утверждении результатов определения кадастровой стоимости всех видов объектов недвижимости, расположенных на территории Орловской области, в том числе земельных участков с категориями земель: земли сельскохозяйственного назначения; земли населенных пунктов; земли промышленности, энергетики, транспорта, связи, радиовещания, телевидения, информатики, земли для обеспечения космической деятельности, земли обороны, безопасности и земли иного специального назначения; земли особо охраняемых территорий и объектов"
Номер опубликования: 5700202210070001
Дата опубликования: 07.10.2022
Страница №9585 из 9887:
Увеличить