Официальное опубликование правовых актов
ОФИЦИАЛЬНОЕ ОПУБЛИКОВАНИЕ
Постановление Правительства Орловской области от 24.06.2022 № 358
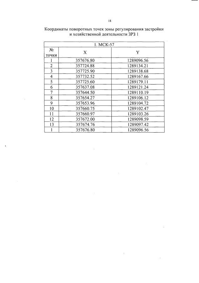
"Об установлении зон охраны объекта культурного наследия федерального историко-культурного значения "Церковь Михаила Архангела и часовня", 1801 г., расположенного по адресу: Орловская область, г. Орёл, пер. Михаило-Архангельский, д. 1"
Номер опубликования: 5700202206290017
Дата опубликования: 29.06.2022
Страница №20 из 32:
Увеличить