Официальное опубликование правовых актов
ОФИЦИАЛЬНОЕ ОПУБЛИКОВАНИЕ
Постановление Правительства Орловской области от 10.06.2022 № 327
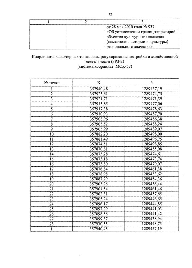
"Об установлении зон охраны объекта культурного наследия регионального историко-культурного значения "Дом жилой", XIX в., расположенного по адресу: Орловская область, г. Орёл, пл. Карла Маркса, д. 1-3"
Номер опубликования: 5700202206150002
Дата опубликования: 15.06.2022
Страница №14 из 23:
Увеличить