Официальное опубликование правовых актов
ОФИЦИАЛЬНОЕ ОПУБЛИКОВАНИЕ
Постановление Правительства Орловской области от 27.05.2022 № 291
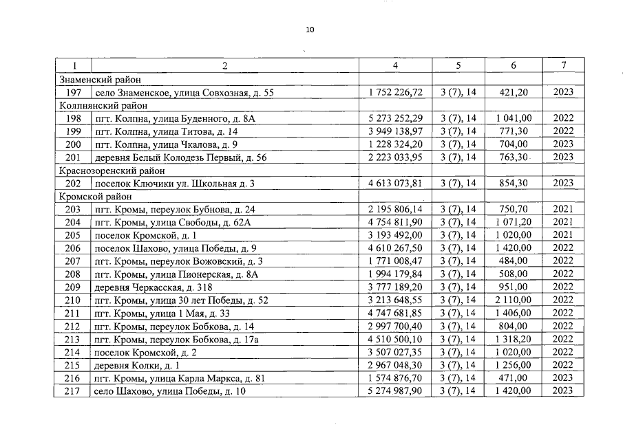
"О внесении изменений в постановление Правительства Орловской области от 23 августа 2019 года № 480 "Об утверждении краткосрочного плана реализации областной адресной программы "Капитальный ремонт общего имущества в многоквартирных домах на территории Орловской области" в 2021–2023 годах"
Номер опубликования: 5700202205310003
Дата опубликования: 31.05.2022
Страница №26 из 29:
Увеличить