Официальное опубликование правовых актов
ОФИЦИАЛЬНОЕ ОПУБЛИКОВАНИЕ
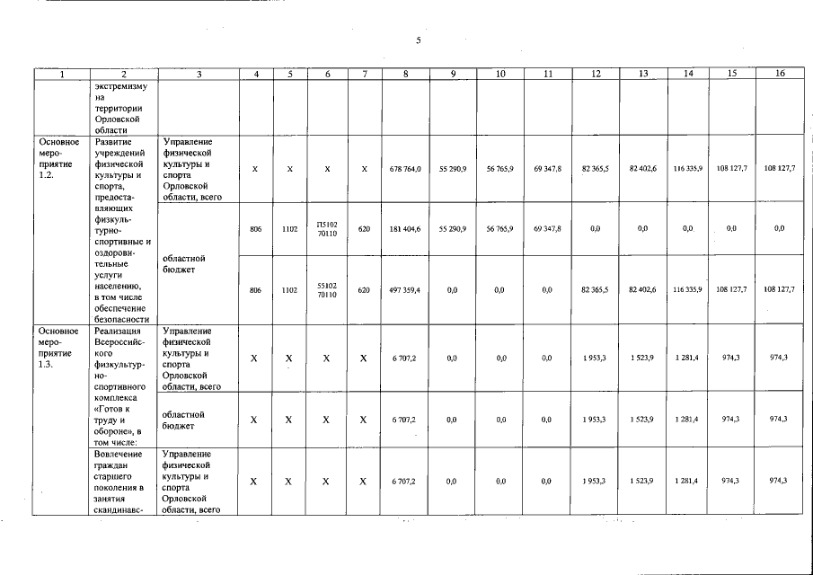
Постановление Правительства Орловской области от 29.04.2022 № 245
"О внесении изменений в постановление Правительства Орловской области от 31 октября 2016 года № 427 "Об утверждении государственной программы Орловской области "Развитие физической культуры и спорта"
Номер опубликования: 5700202205050001
Дата опубликования: 05.05.2022
Страница №84 из 139:
Увеличить