Официальное опубликование правовых актов
ОФИЦИАЛЬНОЕ ОПУБЛИКОВАНИЕ
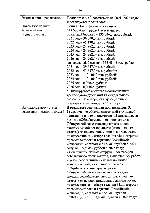
Постановление Правительства Орловской области от 29.04.2022 № 241
"О внесении изменения в постановление Правительства Орловской области от 28 декабря 2020 года № 820 "Об утверждении государственной программы Орловской области "Развитие промышленности Орловской области"
Номер опубликования: 5700202204290009
Дата опубликования: 29.04.2022
Страница №28 из 76:
Увеличить