Официальное опубликование правовых актов
ОФИЦИАЛЬНОЕ ОПУБЛИКОВАНИЕ
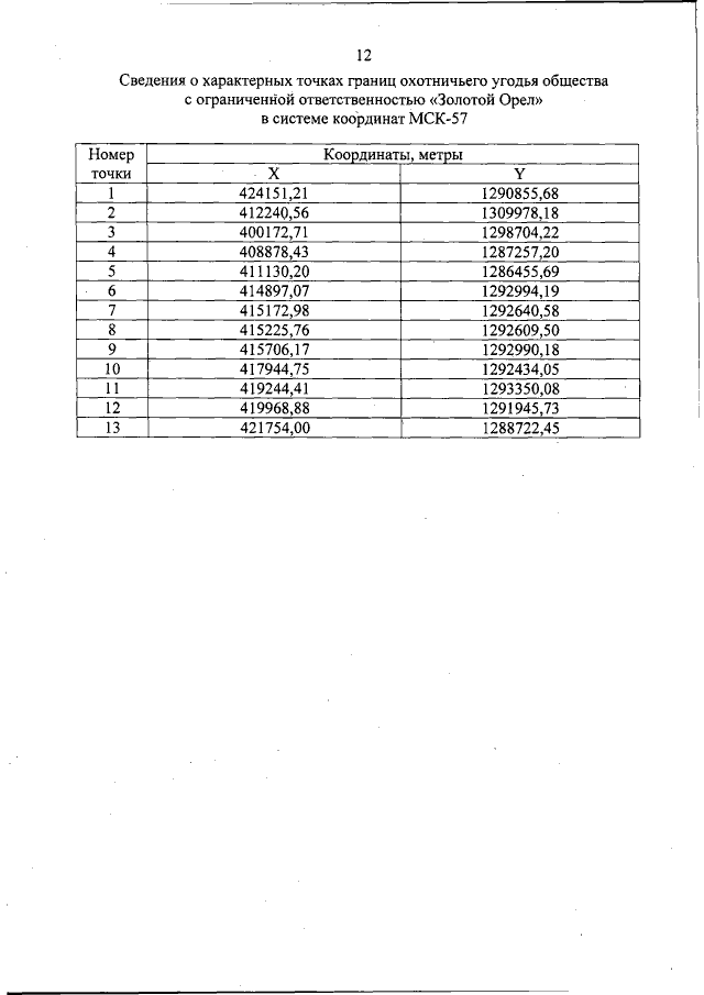
Указ Губернатора Орловской области от 22.04.2022 № 195
"Об утверждении схемы размещения, использования и охраны охотничьих угодий на территории Орловской области"
Номер опубликования: 5700202204260009
Дата опубликования: 26.04.2022
Страница №291 из 600:
Увеличить