Официальное опубликование правовых актов
ОФИЦИАЛЬНОЕ ОПУБЛИКОВАНИЕ
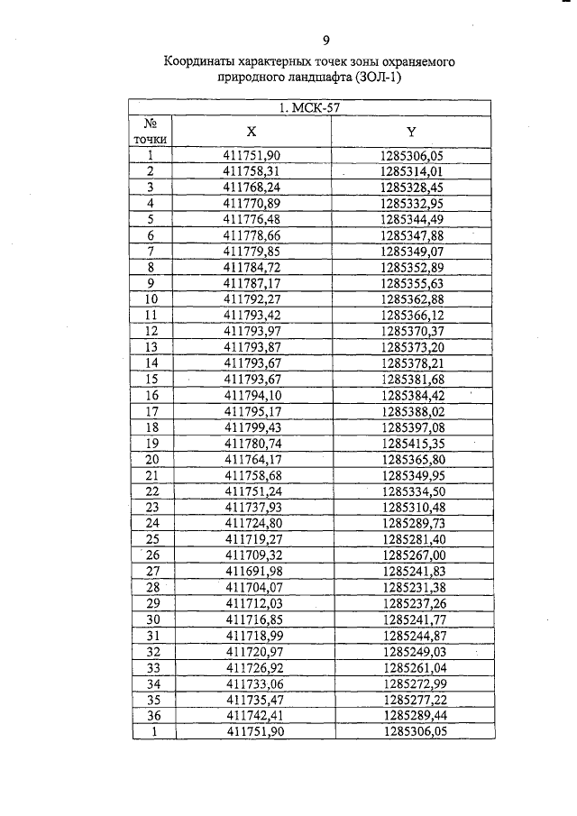
Постановление Правительства Орловской области от 30.03.2022 № 166
"Об установлении зон охраны объекта культурного наследия регионального значения "Дом жилой", XIX в., расположенного по адресу: Орловская область, Болховский район, г. Болхов, ул. Декабристов, д. 64"
Номер опубликования: 5700202204010003
Дата опубликования: 01.04.2022
Страница №11 из 21:
Увеличить