Официальное опубликование правовых актов
ОФИЦИАЛЬНОЕ ОПУБЛИКОВАНИЕ
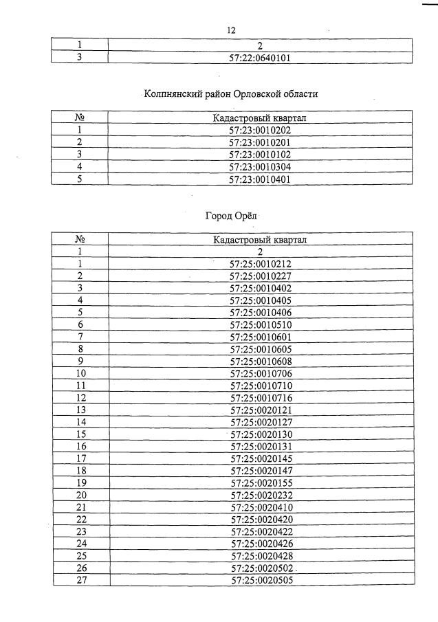
Постановление Правительства Орловской области от 05.03.2022 № 115
"Об утверждении перечня кадастровых кварталов, в границах которых предполагается проведение комплексных кадастровых работ в 2023 году"
Номер опубликования: 5700202203090002
Дата опубликования: 09.03.2022
Страница №13 из 15:
Увеличить