Официальное опубликование правовых актов
ОФИЦИАЛЬНОЕ ОПУБЛИКОВАНИЕ
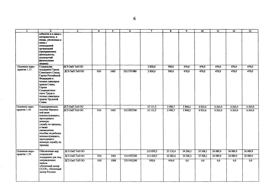
Постановление Правительства Орловской области от 24.12.2021 № 798
"О внесении изменений в постановление Правительства Орловской области от 2 октября 2019 года № 556 "Об утверждении государственной программы Орловской области "Социальная поддержка граждан в Орловской области"
Номер опубликования: 5700202112280008
Дата опубликования: 28.12.2021
Страница №119 из 176:
Увеличить