Официальное опубликование правовых актов
ОФИЦИАЛЬНОЕ ОПУБЛИКОВАНИЕ
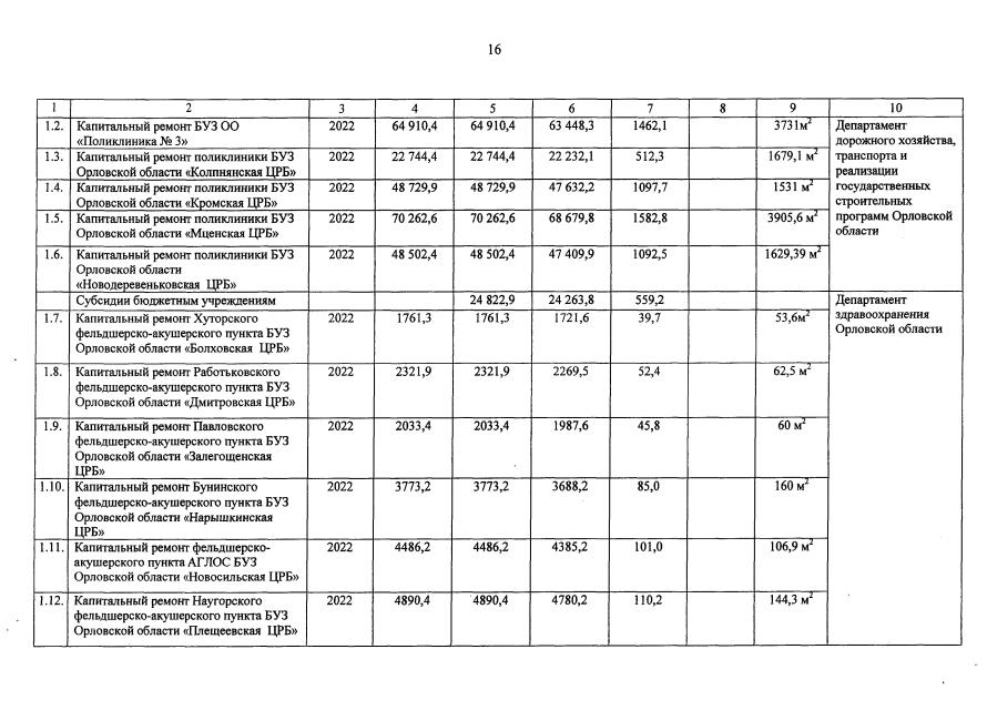
Постановление Правительства Орловской области от 17.12.2021 № 775
"Об утверждении межведомственной инвестиционной программы "Развитие и укрепление социальной и инженерной инфраструктуры Орловской области" на 2022 год и плановый период 2023 и 2024 годов"
Номер опубликования: 5700202112210011
Дата опубликования: 21.12.2021
Страница №18 из 43:
Увеличить