Официальное опубликование правовых актов
ОФИЦИАЛЬНОЕ ОПУБЛИКОВАНИЕ
Постановление Правительства Орловской области от 26.11.2021 № 716
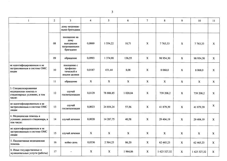
"О внесении изменений в постановление Правительства Орловской области от 30 декабря 2020 года № 857 "О Программе государственных гарантий бесплатного оказания гражданам медицинской помощи на территории Орловской области на 2021 год и на плановый период 2022 и 2023 годов"
Номер опубликования: 5700202111300006
Дата опубликования: 30.11.2021
Страница №5 из 16:
Увеличить