Официальное опубликование правовых актов
ОФИЦИАЛЬНОЕ ОПУБЛИКОВАНИЕ
Постановление Правительства Орловской области от 01.09.2021 № 525
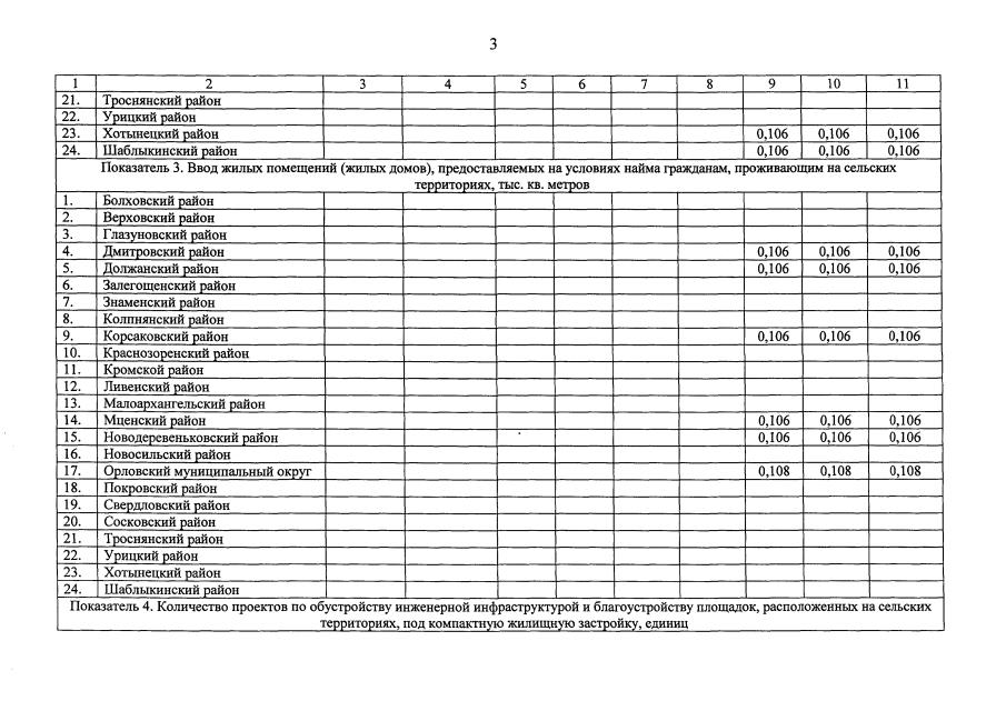
"О внесении изменений в постановление Правительства Орловской области от 20 декабря 2019 года № 705 "Об утверждении государственной программы Орловской области "Комплексное развитие сельских территорий Орловской области"
Номер опубликования: 5700202109030010
Дата опубликования: 03.09.2021
Страница №22 из 62:
Увеличить