Официальное опубликование правовых актов
ОФИЦИАЛЬНОЕ ОПУБЛИКОВАНИЕ
Постановление Правительства Орловской области от 12.08.2021 № 476
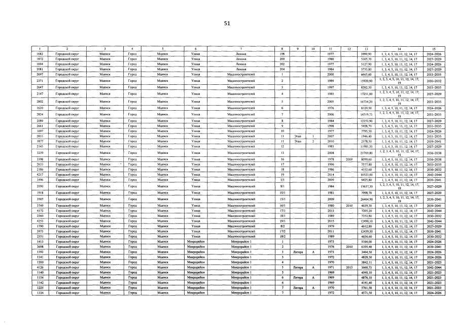
"О внесении изменений в постановление Правительства Орловской области от 31 декабря 2013 года № 482 "Об утверждении областной адресной программы "Капитальный ремонт общего имущества в многоквартирных домах на территории Орловской области"
Номер опубликования: 5700202108130005
Дата опубликования: 13.08.2021
Страница №55 из 100:
Увеличить