Официальное опубликование правовых актов
ОФИЦИАЛЬНОЕ ОПУБЛИКОВАНИЕ
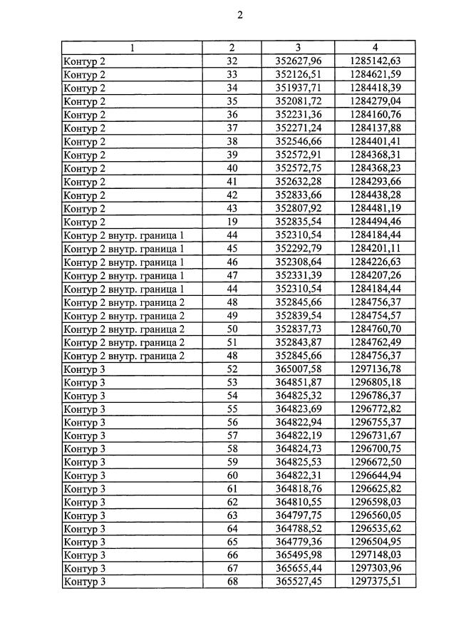
Постановление Правительства Орловской области от 22.07.2021 № 412
"Об установлении границ лесопаркового зеленого пояса вокруг города Орла"
Номер опубликования: 5700202107230001
Дата опубликования: 23.07.2021
Страница №3 из 124:
Увеличить