Официальное опубликование правовых актов
ОФИЦИАЛЬНОЕ ОПУБЛИКОВАНИЕ
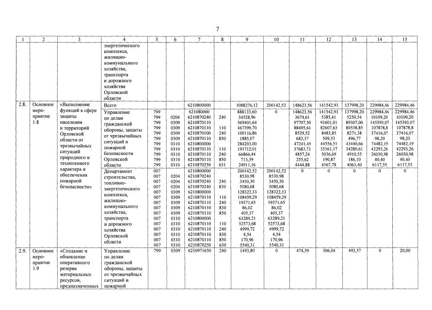
Постановление Правительства Орловской области от 17.06.2021 № 347
"О внесении изменений в постановление Правительства Орловской области от 26 декабря 2019 года № 730 "Об утверждении государственной программы Орловской области "Развитие системы комплексной безопасности в Орловской области"
Номер опубликования: 5700202106180001
Дата опубликования: 18.06.2021
Страница №77 из 94:
Увеличить