Официальное опубликование правовых актов
ОФИЦИАЛЬНОЕ ОПУБЛИКОВАНИЕ
Постановление Правительства Орловской области от 15.06.2021 № 338
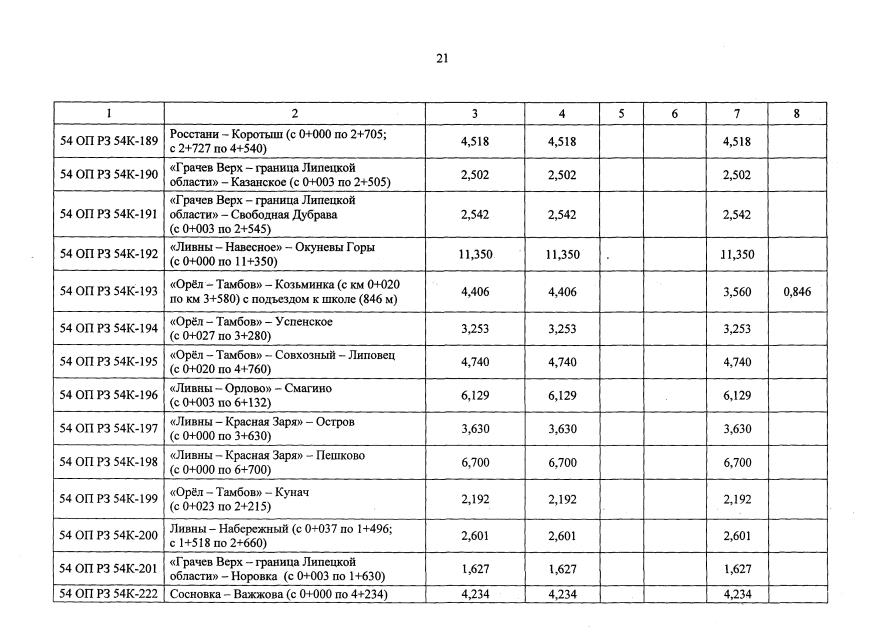
"О внесении изменения в постановление Правительства Орловской области от 19 ноября 2015 года № 501 "Об утверждении Перечня автомобильных дорог общего пользования регионального и межмуниципального значения Орловской области"
Номер опубликования: 5700202106170005
Дата опубликования: 17.06.2021
Страница №22 из 37:
Увеличить