Официальное опубликование правовых актов
ОФИЦИАЛЬНОЕ ОПУБЛИКОВАНИЕ
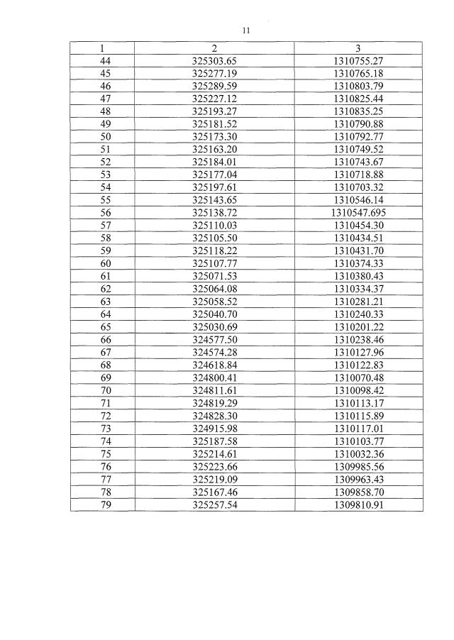
Постановление Правительства Орловской области от 28.05.2021 № 306
"Об утверждении перечня исторических поселений, имеющих особое значение для истории и культуры Орловской области, а также предметов охраны, границ территорий и требований к градостроительным регламентам в указанных границах таких исторических поселений"
Номер опубликования: 5700202106010005
Дата опубликования: 01.06.2021
Страница №14 из 151:
Увеличить