Постановление Правительства Орловской области от 13.04.2021 № 221
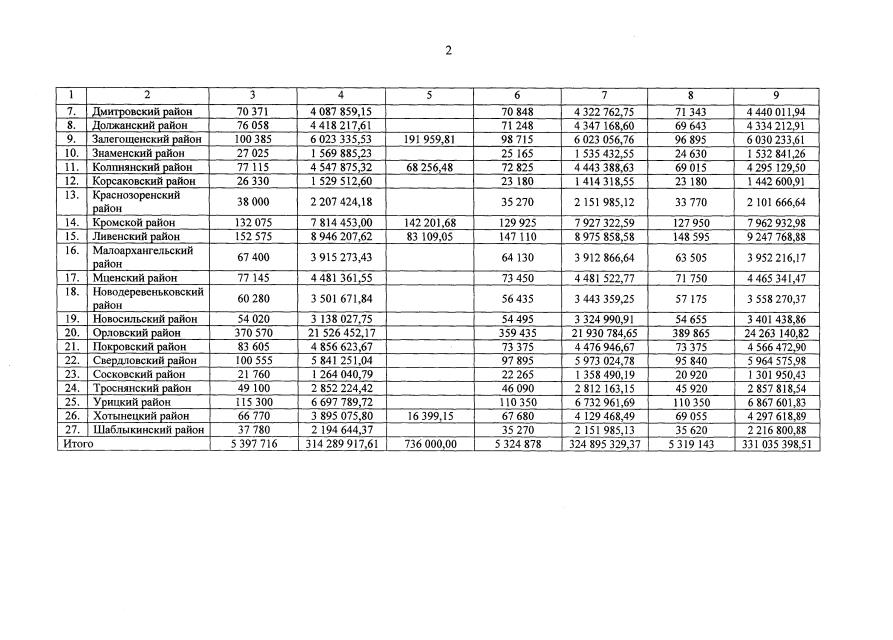
"О внесении изменения в постановление Правительства Орловской области от 22 декабря 2020 года № 789 "Об утверждении распределения субсидий из областного бюджета бюджетам муниципальных районов (городских округов) Орловской области на организацию бесплатного горячего питания обучающихся, получающих начальное общее образование в муниципальных образовательных организациях, в рамках подпрограммы 1 "Развитие системы дошкольного, общего и дополнительного образования детей, воспитательной работы в образовательных организациях" государственной программы Орловской области "Образование в Орловской области" на 2021 год и на плановый период 2022 и 2023 годов"
"О внесении изменения в постановление Правительства Орловской области от 22 декабря 2020 года № 789 "Об утверждении распределения субсидий из областного бюджета бюджетам муниципальных районов (городских округов) Орловской области на организацию бесплатного горячего питания обучающихся, получающих начальное общее образование в муниципальных образовательных организациях, в рамках подпрограммы 1 "Развитие системы дошкольного, общего и дополнительного образования детей, воспитательной работы в образовательных организациях" государственной программы Орловской области "Образование в Орловской области" на 2021 год и на плановый период 2022 и 2023 годов"
Номер опубликования: 5700202104160004
Дата опубликования:
16.04.2021
