Официальное опубликование правовых актов
ОФИЦИАЛЬНОЕ ОПУБЛИКОВАНИЕ
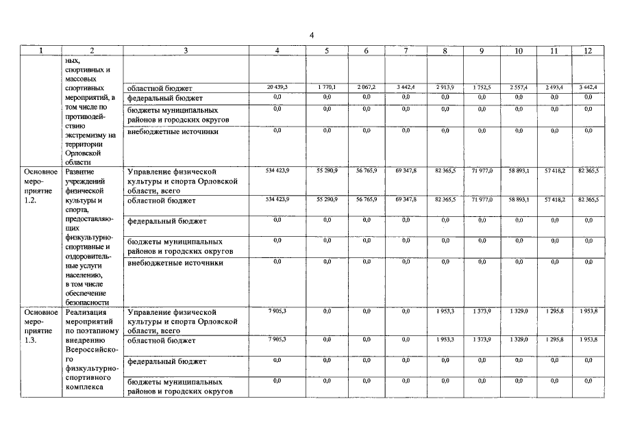
Постановление Правительства Орловской области от 18.03.2021 № 149
"О внесении изменений в постановление Правительства Орловской области от 31 октября 2016 года № 427 "Об утверждении государственной программы Орловской области "Развитие физической культуры и спорта"
Номер опубликования: 5700202103180014
Дата опубликования: 18.03.2021
Страница №111 из 161:
Увеличить