Официальное опубликование правовых актов
ОФИЦИАЛЬНОЕ ОПУБЛИКОВАНИЕ
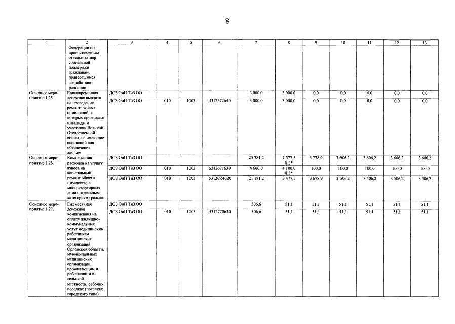
Постановление Правительства Орловской области от 17.02.2021 № 83
"О внесении изменений в постановление Правительства Орловской области от 2 октября 2019 года № 556 "Об утверждении государственной программы Орловской области "Социальная поддержка граждан в Орловской области"
Номер опубликования: 5700202102180002
Дата опубликования: 18.02.2021
Страница №94 из 133:
Увеличить