Официальное опубликование правовых актов
ОФИЦИАЛЬНОЕ ОПУБЛИКОВАНИЕ
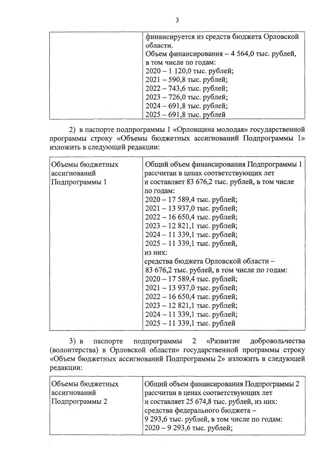
Постановление Правительства Орловской области от 12.02.2021 № 68
"О внесении изменений в постановление Правительства Орловской области от 30 августа 2019 года № 498 "Об утверждении государственной программы Орловской области "Молодежь Орловщины"
Номер опубликования: 5700202102150006
Дата опубликования: 15.02.2021
Страница №3 из 73:
Увеличить