Официальное опубликование правовых актов
ОФИЦИАЛЬНОЕ ОПУБЛИКОВАНИЕ
Постановление Правительства Орловской области от 22.12.2020 № 789
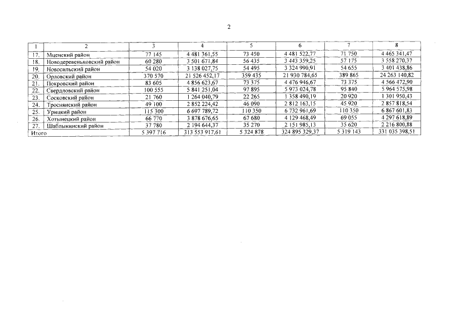
"Об утверждении распределения субсидий из областного бюджета бюджетам муниципальных районов (городских округов) Орловской области на организацию бесплатного горячего питания обучающихся, получающих начальное общее образование в муниципальных образовательных организациях, в рамках подпрограммы 1 "Развитие системы дошкольного, общего и дополнительного образования детей, воспитательной работы в образовательных организациях" государственной программы Орловской области "Образование в Орловской области" на 2021 год и на плановый период 2022 и 2023 годов"
Номер опубликования: 5700202012240012
Дата опубликования: 24.12.2020
Страница №4 из 4:
Увеличить