Официальное опубликование правовых актов
ОФИЦИАЛЬНОЕ ОПУБЛИКОВАНИЕ
Постановление Правительства Орловской области от 30.11.2020 № 722
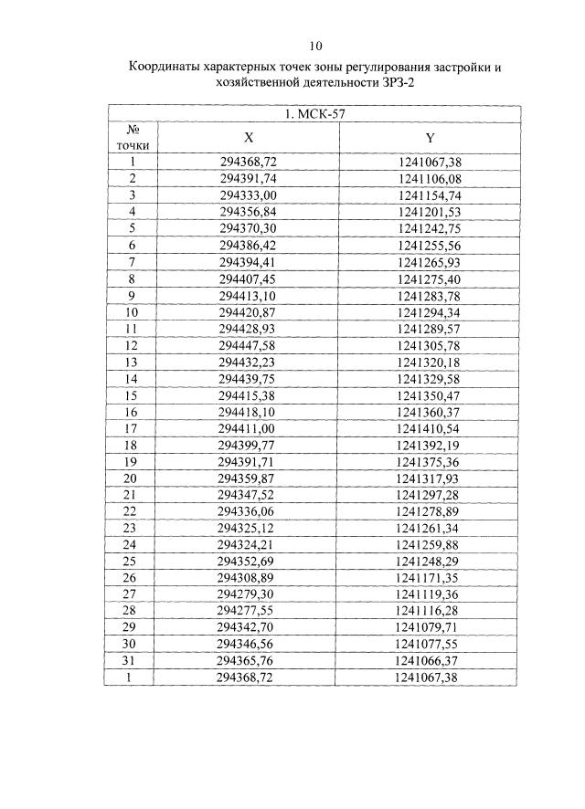
"Об установлении зон охраны объекта культурного наследия регионального значения "Комплекс бывшей усадьбы: 1. Главный дом, 2. Два флигеля, 3. Здание бывшего завода, 4. Амбар, 5. Парк", XIX век, расположенного по адресу: Дмитровский район, с/п Долбенкинское, с. Долбенкино"
Номер опубликования: 5700202012010001
Дата опубликования: 01.12.2020
Страница №12 из 23:
Увеличить