Официальное опубликование правовых актов
ОФИЦИАЛЬНОЕ ОПУБЛИКОВАНИЕ
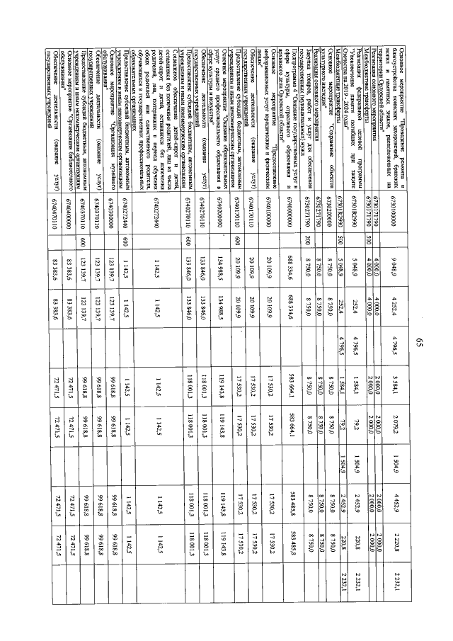
Закон Орловской области от 10.11.2020 № 2526-ОЗ
"О внесении изменений в Закон Орловской области "Об областном бюджете на 2020 год и на плановый период 2021 и 2022 годов"
Номер опубликования: 5700202011110001
Дата опубликования: 11.11.2020
Страница №433 из 465:
Увеличить