Официальное опубликование правовых актов
ОФИЦИАЛЬНОЕ ОПУБЛИКОВАНИЕ
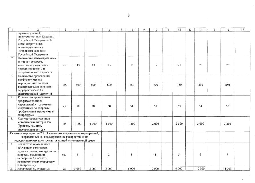
Постановление Правительства Орловской области от 26.10.2020 № 655
"О внесении изменений в постановление Правительства Орловской области от 11 ноября 2019 года № 628 "Об утверждении государственной программы Орловской области "Обеспечение законности и правопорядка на территории Орловской области"
Номер опубликования: 5700202010280009
Дата опубликования: 28.10.2020
Страница №19 из 27:
Увеличить