Официальное опубликование правовых актов
ОФИЦИАЛЬНОЕ ОПУБЛИКОВАНИЕ
Постановление Правительства Орловской области от 01.10.2020 № 609
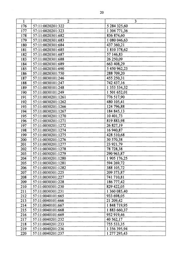
"Об утверждении результатов определения кадастровой стоимости земельных участков с категориями земель: земли лесного фонда и земли водного фонда, расположенных на территории Орловской области"
Номер опубликования: 5700202010050003
Дата опубликования: 05.10.2020
Страница №21 из 32:
Увеличить