Официальное опубликование правовых актов
ОФИЦИАЛЬНОЕ ОПУБЛИКОВАНИЕ
Постановление Правительства Орловской области от 18.09.2020 № 580
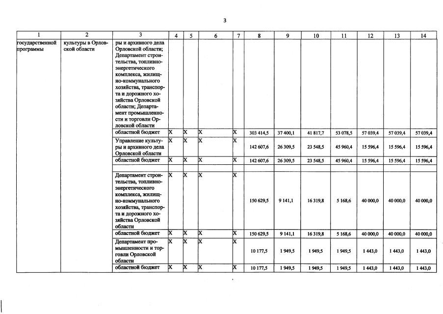
"О внесении изменений в постановление Правительства Орловской области от 23 декабря 2019 года № 716 "Об утверждении государственной программы Орловской области "Развитие культуры и искусства, туризма, архивного дела, сохранение и реконструкция военно-мемориальных объектов в Орловской области"
Номер опубликования: 5700202009240001
Дата опубликования: 24.09.2020
Страница №16 из 127:
Увеличить