Официальное опубликование правовых актов
ОФИЦИАЛЬНОЕ ОПУБЛИКОВАНИЕ
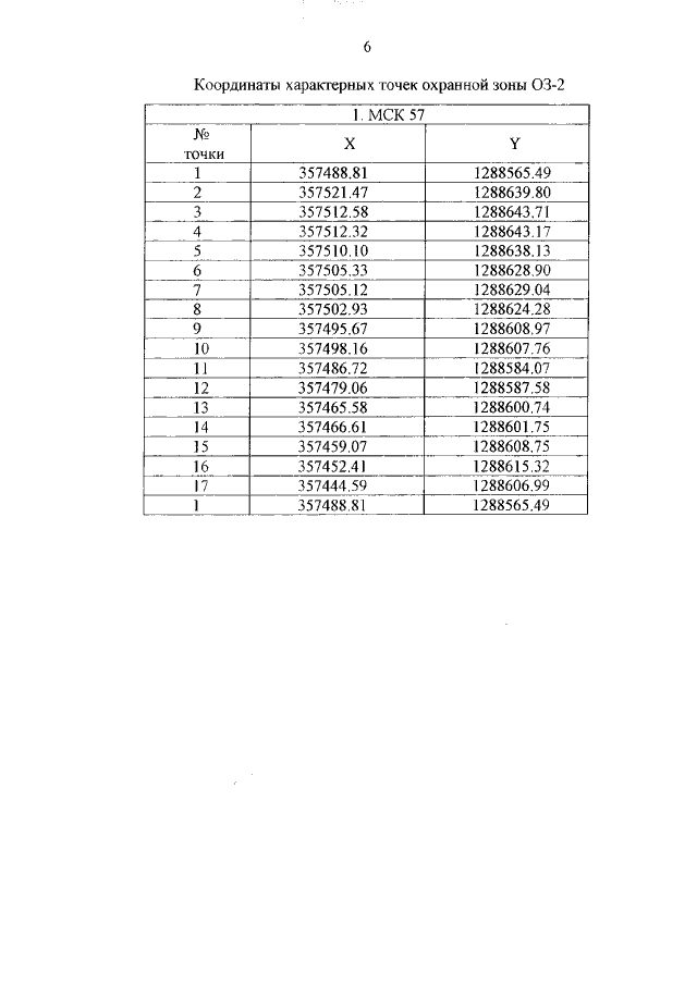
Постановление Правительства Орловской области от 16.07.2020 № 464
"Об установлении зон охраны объекта культурного наследия регионального значения "Дом жилой", XIX век, расположенного по адресу: г. Орёл, ул. Панчука, д. 38"
Номер опубликования: 5700202007170006
Дата опубликования: 17.07.2020
Страница №8 из 16:
Увеличить