Официальное опубликование правовых актов
ОФИЦИАЛЬНОЕ ОПУБЛИКОВАНИЕ
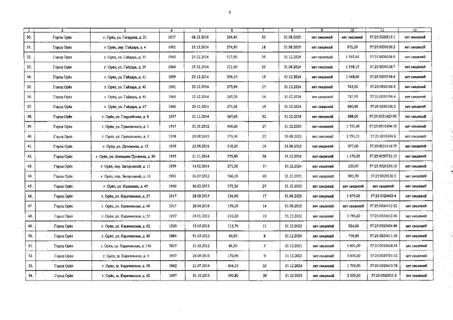
Постановление Правительства Орловской области от 13.07.2020 № 448
"О внесении изменений в постановление Правительства Орловской области от 29 марта 2019 года № 176 "Об утверждении областной адресной программы "Переселение граждан, проживающих на территории Орловской области, из аварийного жилищного фонда" на 2019–2025 годы"
Номер опубликования: 5700202007160002
Дата опубликования: 16.07.2020
Страница №9 из 16:
Увеличить