Официальное опубликование правовых актов
ОФИЦИАЛЬНОЕ ОПУБЛИКОВАНИЕ
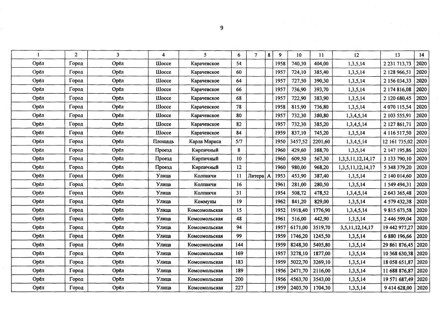
Постановление Правительства Орловской области от 22.06.2020 № 390
"О внесении изменений в постановление Правительства Орловской области от 28 ноября 2017 года № 500 "Об утверждении краткосрочного плана реализации областной адресной программы "Капитальный ремонт общего имущества в многоквартирных домах на территории Орловской области" в 2018–2020 годах"
Номер опубликования: 5700202006260015
Дата опубликования: 26.06.2020
Страница №13 из 27:
Увеличить