Официальное опубликование правовых актов
ОФИЦИАЛЬНОЕ ОПУБЛИКОВАНИЕ
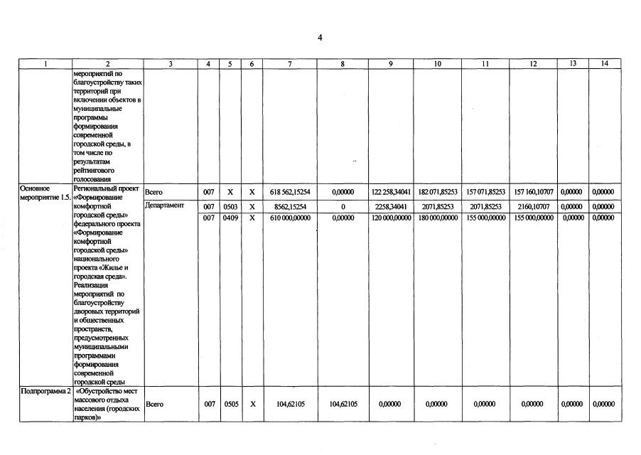
Постановление Правительства Орловской области от 11.06.2020 № 362
"О внесении изменений в постановление Правительства Орловской области от 31 августа 2017 года № 372 "Об утверждении государственной программы Орловской области "Формирование современной городской среды на территории Орловской области"
Номер опубликования: 5700202006160004
Дата опубликования: 16.06.2020
Страница №39 из 61:
Увеличить