Официальное опубликование правовых актов
ОФИЦИАЛЬНОЕ ОПУБЛИКОВАНИЕ
Постановление Правительства Орловской области от 13.05.2020 № 298
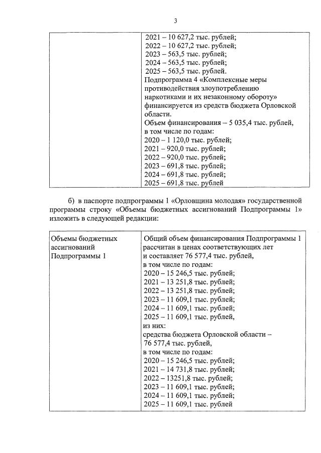
"О внесении изменений в постановление Правительства Орловской области от 30 августа 2019 года № 498 "Об утверждении государственной программы Орловской области "Молодежь Орловщины"
Номер опубликования: 5700202005140008
Дата опубликования: 14.05.2020
Страница №3 из 97:
Увеличить