Официальное опубликование правовых актов
ОФИЦИАЛЬНОЕ ОПУБЛИКОВАНИЕ
Постановление Правительства Орловской области от 30.04.2020 № 281
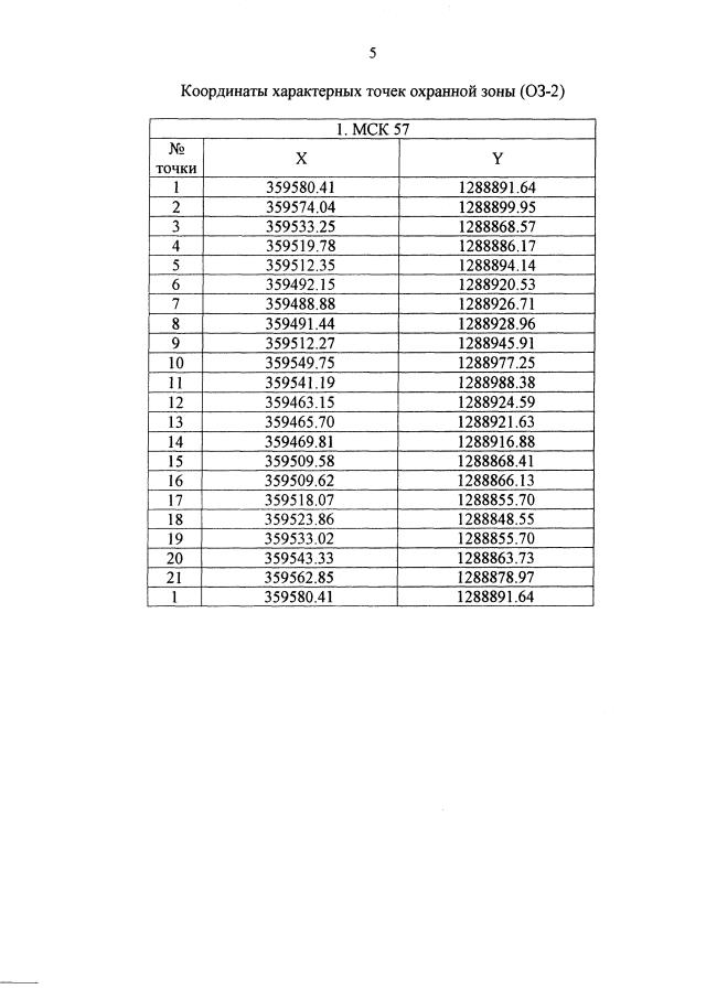
"Об установлении зон охраны объекта культурного наследия регионального значения "Флигель бронетанкового училища, в котором жил С. Шаумян", расположенного по адресу: г. Орёл, ул. С. Шаумяна, д. 29"
Номер опубликования: 5700202005060004
Дата опубликования: 06.05.2020
Страница №7 из 14:
Увеличить