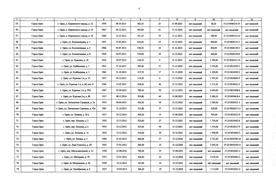
Постановление Правительства Орловской области от 23.04.2020 № 256
"О внесении изменений в постановление Правительства Орловской области от 29 марта 2019 года № 176 "Об утверждении областной адресной программы "Переселение граждан, проживающих на территории Орловской области, из аварийного жилищного фонда" на 2019–2025 годы"
"О внесении изменений в постановление Правительства Орловской области от 29 марта 2019 года № 176 "Об утверждении областной адресной программы "Переселение граждан, проживающих на территории Орловской области, из аварийного жилищного фонда" на 2019–2025 годы"
Номер опубликования: 5700202004290004
Дата опубликования:
29.04.2020
