Официальное опубликование правовых актов
ОФИЦИАЛЬНОЕ ОПУБЛИКОВАНИЕ
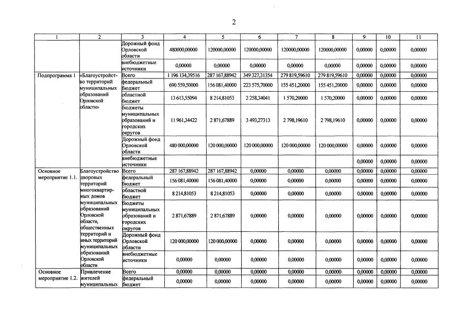
Постановление Правительства Орловской области от 18.11.2019 № 642
"О внесении изменений в постановление Правительства Орловской области от 31 августа 2017 года № 372 "Об утверждении государственной программы Орловской области "Формирование современной городской среды на территории Орловской области"
Номер опубликования: 5700201911210005
Дата опубликования: 21.11.2019
Страница №16 из 28:
Увеличить