Официальное опубликование правовых актов
ОФИЦИАЛЬНОЕ ОПУБЛИКОВАНИЕ
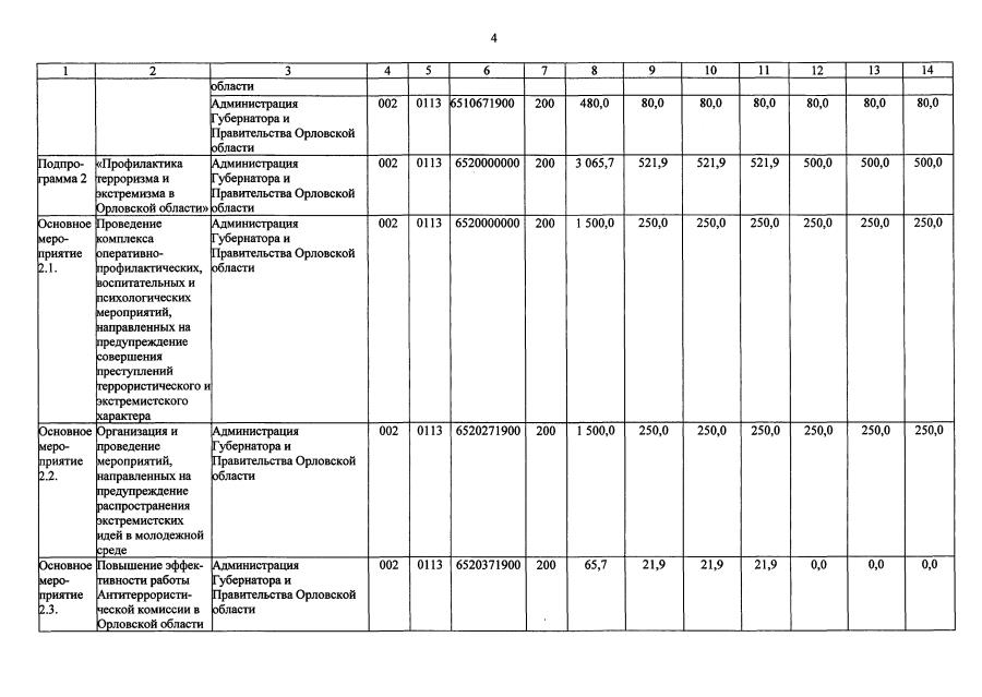
Постановление Правительства Орловской области от 11.11.2019 № 628
"Об утверждении государственной программы Орловской области "Обеспечение законности и правопорядка на территории Орловской области"
Номер опубликования: 5700201911130001
Дата опубликования: 13.11.2019
Страница №44 из 59:
Увеличить