Официальное опубликование правовых актов
ОФИЦИАЛЬНОЕ ОПУБЛИКОВАНИЕ
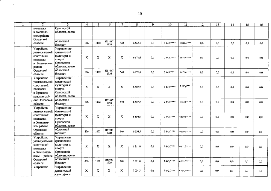
Постановление Правительства Орловской области от 25.09.2019 № 547
"О внесении изменений в постановление Правительства Орловской области от 31 октября 2016 года № 427 "Об утверждении государственной программы Орловской области "Развитие физической культуры и спорта"
Номер опубликования: 5700201909300009
Дата опубликования: 30.09.2019
Страница №48 из 86:
Увеличить