Официальное опубликование правовых актов
ОФИЦИАЛЬНОЕ ОПУБЛИКОВАНИЕ
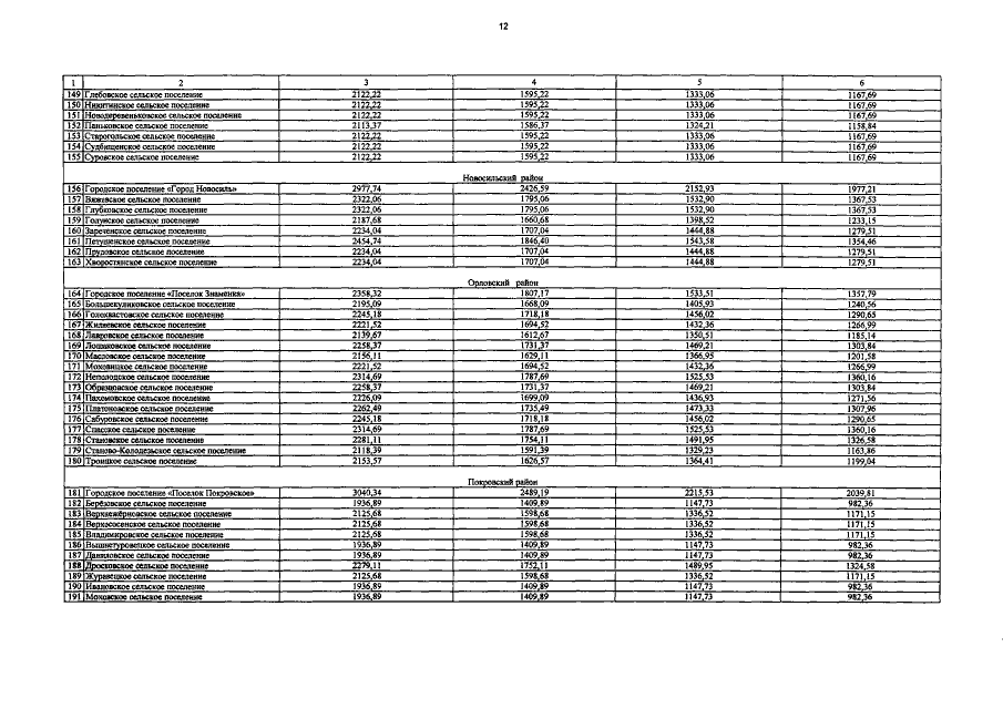
Постановление Правительства Орловской области от 26.09.2019 № 550
"О внесении изменений в постановление Правительства Орловской области от 27 апреля 2011 года № 124 "О региональных стандартах стоимости жилищно-коммунальных услуг, нормативной площади жилого помещения, используемой для расчета субсидий на оплату жилого помещения и коммунальных услуг, максимально допустимой доли расходов граждан на оплату жилого помещения и коммунальных услуг в совокупном доходе семьи"
Номер опубликования: 5700201909300002
Дата опубликования: 30.09.2019
Страница №15 из 24:
Увеличить