Официальное опубликование правовых актов
ОФИЦИАЛЬНОЕ ОПУБЛИКОВАНИЕ
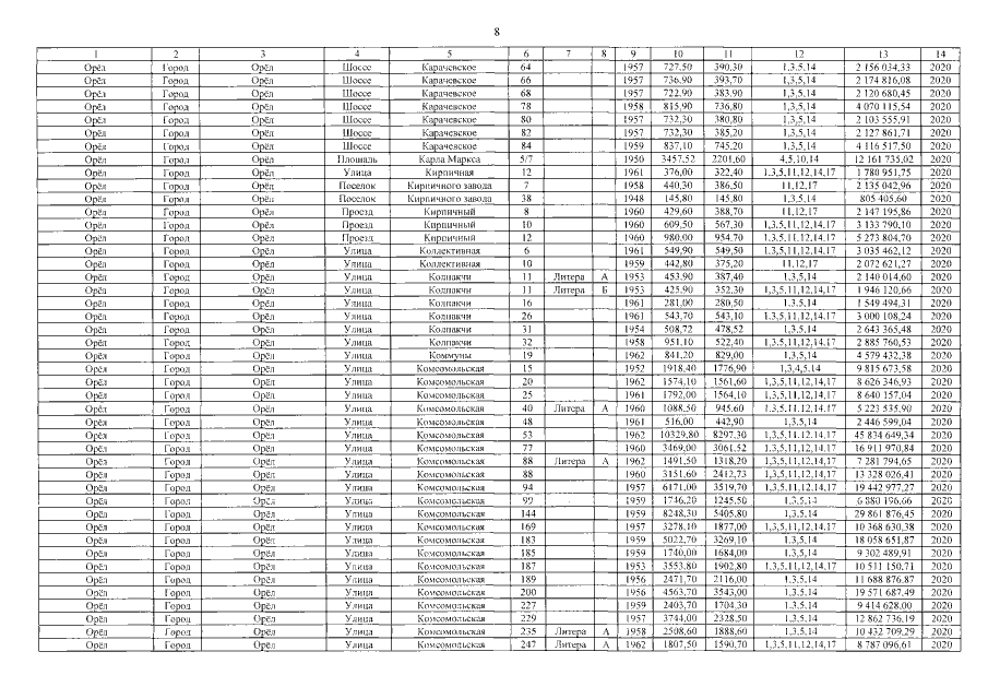
Постановление Правительства Орловской области от 23.08.2019 № 479
"О внесении изменений в постановление Правительства Орловской области от 28 ноября 2017 года № 500 "Об утверждении краткосрочного плана реализации областной адресной программы "Капитальный ремонт общего имущества в многоквартирных домах на территории Орловской области" в 2018-2020 годах"
Номер опубликования: 5700201908270006
Дата опубликования: 27.08.2019
Страница №12 из 31:
Увеличить