Официальное опубликование правовых актов
ОФИЦИАЛЬНОЕ ОПУБЛИКОВАНИЕ
Постановление Правительства Орловской области от 23.08.2019 № 478
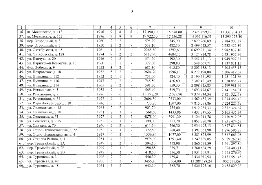
"О внесении изменений в постановление Правительства Орловской области от 12 сентября 2016 года № 357 "Об утверждении краткосрочного плана реализации областной адресной программы "Капитальный ремонт общего имущества в многоквартирных домах на территории Орловской области" в 2017 году"
Номер опубликования: 5700201908270004
Дата опубликования: 27.08.2019
Страница №33 из 62:
Увеличить