Официальное опубликование правовых актов
ОФИЦИАЛЬНОЕ ОПУБЛИКОВАНИЕ
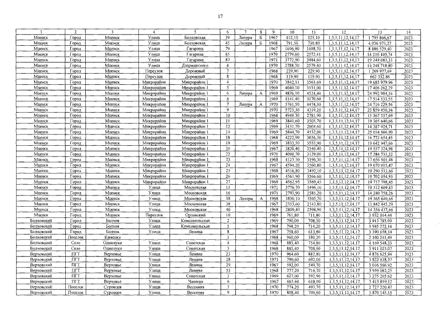
Постановление Правительства Орловской области от 23.08.2019 № 480
"Об утверждении краткосрочного плана реализации областной адресной программы "Капитальный ремонт общего имущества в многоквартирных домах на территории Орловской области" в 2021-2023 годах"
Номер опубликования: 5700201908270003
Дата опубликования: 27.08.2019
Страница №23 из 33:
Увеличить