Официальное опубликование правовых актов
ОФИЦИАЛЬНОЕ ОПУБЛИКОВАНИЕ
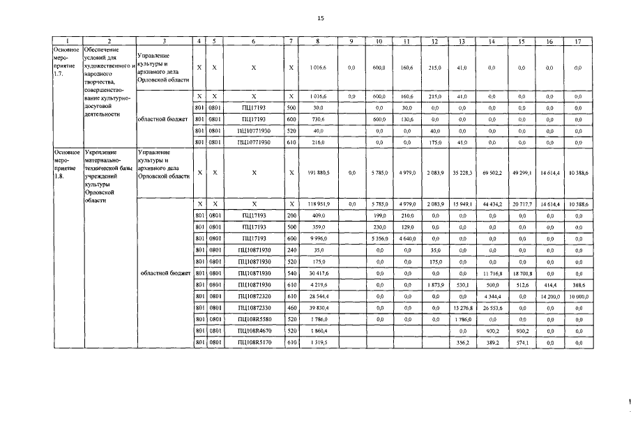
Постановление Правительства Орловской области от 13.08.2019 № 460
"О внесении изменений в постановление Правительства Орловской области от 7 ноября 2012 года № 400 "Об утверждении государственной программы Орловской области "Развитие культуры и искусства, туризма, архивного дела, сохранение и реконструкция военно-мемориальных объектов в Орловской области"
Номер опубликования: 5700201908160019
Дата опубликования: 16.08.2019
Страница №113 из 364:
Увеличить