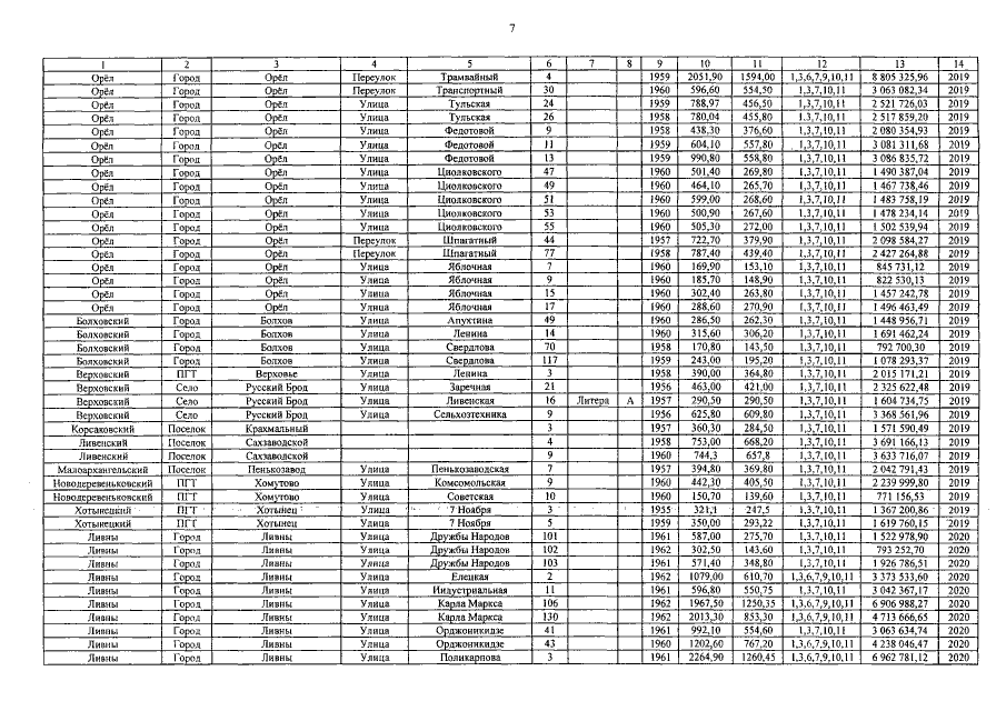
Постановление Правительства Орловской области от 16.07.2019 № 401
"О внесении изменений в постановление Правительства Орловской области от 28 ноября 2017 года № 500 "Об утверждении краткосрочного плана реализации областной адресной программы "Капитальный ремонт общего имущества в многоквартирных домах на территории Орловской области" в 2018–2020 годах"
"О внесении изменений в постановление Правительства Орловской области от 28 ноября 2017 года № 500 "Об утверждении краткосрочного плана реализации областной адресной программы "Капитальный ремонт общего имущества в многоквартирных домах на территории Орловской области" в 2018–2020 годах"
Номер опубликования: 5700201907170006
Дата опубликования:
17.07.2019
