Официальное опубликование правовых актов
ОФИЦИАЛЬНОЕ ОПУБЛИКОВАНИЕ
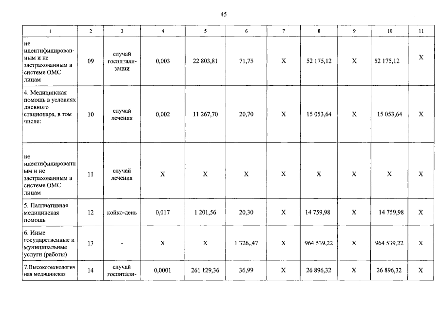
Постановление Правительства Орловской области от 16.07.2019 № 402
"О внесении изменений в постановление Правительства Орловской области от 29 декабря 2018 года № 564 "О Программе государственных гарантий бесплатного оказания гражданам медицинской помощи на территории Орловской области на 2019 год и на плановый период 2020 и 2021 годов"
Номер опубликования: 5700201907170004
Дата опубликования: 17.07.2019
Страница №94 из 115:
Увеличить