Официальное опубликование правовых актов
ОФИЦИАЛЬНОЕ ОПУБЛИКОВАНИЕ
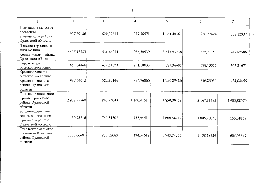
Постановление Правительства Орловской области от 15.02.2019 № 90
"О внесении изменения в постановление Правительства Орловской области от 16 февраля 2018 года № 69 "О распределении субсидий из областного бюджета бюджетам муниципальных образований Орловской области на поддержку муниципальных программ формирования современной городской среды в рамках подпрограммы 1 "Благоустройство территорий муниципальных образований Орловской области" государственной программы Орловской области "Формирование современной городской среды на территории Орловской области"
Номер опубликования: 5700201902180001
Дата опубликования: 18.02.2019
Страница №4 из 7:
Увеличить