Официальное опубликование правовых актов
ОФИЦИАЛЬНОЕ ОПУБЛИКОВАНИЕ
Постановление Правительства Орловской области от 05.02.2019 № 54
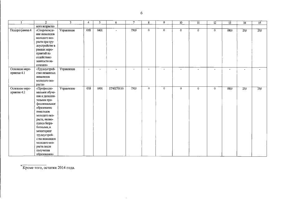
"О внесении изменений в постановление Правительства Орловской области от 8 октября 2012 года № 352 "Об утверждении государственной программы Орловской области "Содействие занятости населения Орловской области"
Номер опубликования: 5700201902050012
Дата опубликования: 05.02.2019
Страница №58 из 78:
Увеличить