Официальное опубликование правовых актов
ОФИЦИАЛЬНОЕ ОПУБЛИКОВАНИЕ
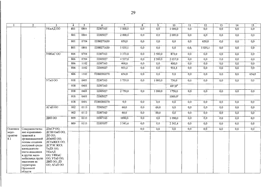
Постановление Правительства Орловской области от 30.01.2019 № 44
"О внесении изменений в постановление Правительства Орловской области от 19 декабря 2012 года № 479 "Об утверждении государственной программы Орловской области "Социальная поддержка граждан в Орловской области"
Номер опубликования: 5700201902010002
Дата опубликования: 01.02.2019
Страница №122 из 183:
Увеличить