Официальное опубликование правовых актов
ОФИЦИАЛЬНОЕ ОПУБЛИКОВАНИЕ
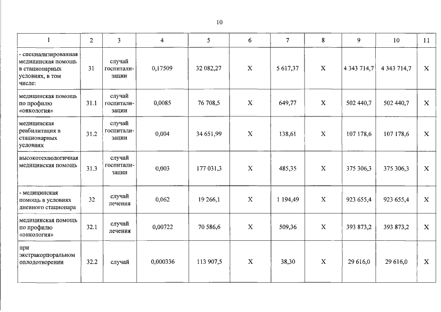
Постановление Правительства Орловской области от 29.12.2018 № 564
"О Программе государственных гарантий бесплатного оказания гражданам медицинской помощи на территории Орловской области на 2019 год и на плановый период 2020 и 2021 годов"
Номер опубликования: 5700201901040003
Дата опубликования: 04.01.2019
Страница №56 из 330:
Увеличить