Официальное опубликование правовых актов
ОФИЦИАЛЬНОЕ ОПУБЛИКОВАНИЕ
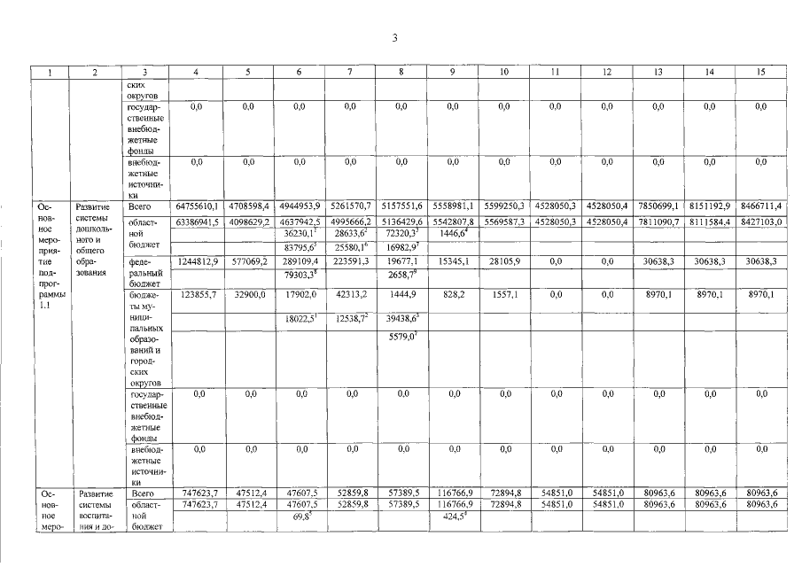
Постановление Правительства Орловской области от 30.11.2018 № 494
"О внесении изменений в постановление Правительства Орловской области от 28 декабря 2012 года № 500 "Об утверждении государственной программы Орловской области "Образование в Орловской области"
Номер опубликования: 5700201812030018
Дата опубликования: 03.12.2018
Страница №132 из 160:
Увеличить